经过上期的学习,
大家的小本本是不是已经记得满满当当了呢?
是否感到意犹未尽,
还想听各路学霸讲解知识点呢?
别着急,第三期活动这就来啦!
在上期活动中,
学霸们和大家探讨了线性代数问题,
本期福star学霸直播间为大家准备了
有关高数的重要知识点。
力求让大家轻松应对期末考试,
学习效率upup!
大家快准备好纸笔,
进入学习模式,
精彩马上开始!
(一)本期科目
高数
(二)直播时间
2022年12月12日(星期一)19:00-21:00
(三)学霸简介
1.计算机与网络空间安全学院 王同学
王同学,女,中共预备党员,计算机与网络空间安全学院2019级计算机科学与技术专业本科生。曾任班级学习委员、班级副班长、年级副主席、年级自律会主任。曾获校二等奖学金,被评为校优秀学生干部、校优秀共青团干部;2020年获全国大学生数学建模竞赛福建赛区二等奖、2021年获美国大学生数学建模竞赛(MCM/ICM)H奖、2021年获全国大学生数学建模竞赛福建赛区一等奖、2021年获全国大学生统计建模大赛三等奖;通过四级、六级考试;高数成绩为91分,历年平均学分绩点为4.05。
2.数学与统计学院 陈同学
陈同学,男,2019级数学与应用数学专业本科生。曾任班级学习委员、班级班长、年级学习科研部部长,现任2019级年级学生会副主席。曾获校二等奖学金,被评为校优秀学生干部、校三好学生、校优秀共青团员;2020年、2021年获全国大学生数学建模竞赛国家二等奖;2020年、2021年获美国大学生数学建模竞赛Meritorious Winner奖;2020年获全国大学生数学竞赛省级二等奖。
3.计算机与网络空间安全学院 郭同学
郭同学,女,共产党员,计算机与网络空间安全学院2019级计算机科学与技术专业本科生。曾任年级党建部副部长、2019级本科生第二党支部书记。连续三年获得校奖学金,被评为校优秀共青团员;2020年获全国大学生数学建模竞赛福建赛区二等奖、2021年获全国大学生数学建模竞赛福建赛区一等奖;通过四级、六级考试;高数成绩为94分,历年平均学分绩点为3.81。
(四)参与方式
1.打开网址:
https://wx.vzan.com/live/tvchat-923063730?v=638057490822926414
2.扫描下方二维码

3.打开“福star”APP,点击“直播平台”,进入学霸直播间。


4.大家还可以扫描下方二维码填写问卷,向学霸们提出自己有关线性代数的疑惑,学霸们将针对大家的问题进行辅导,将困难知识点统统消灭~

在上期学霸直播间中,学霸们为大家讲解了有关线性代数的知识,直播间在线观看人数达2047人。接下来,让小联带大家回顾一下上期内容吧~

(网页直播观看人数)
(一)上期回放
打开下方网址,即可随时观看回放视频,复习上期知识~
https://wx.vzan.com/live/page/987055122shauid=MjAcZtdcIepr0W3cQI5KTg**&vprid=0&sharetstamp=1670287562868&ver=947ed1119e8942e3942c791dc1be02c3
(二)内容回顾
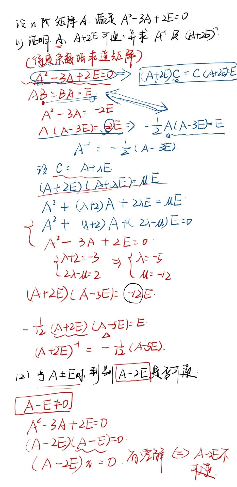
1.李同学向大家介绍了矩阵的基本运算以及逆矩阵的性质和求法,并结合经典例题巩固逆矩阵求法的运用。



(李同学讲课笔记摘录)
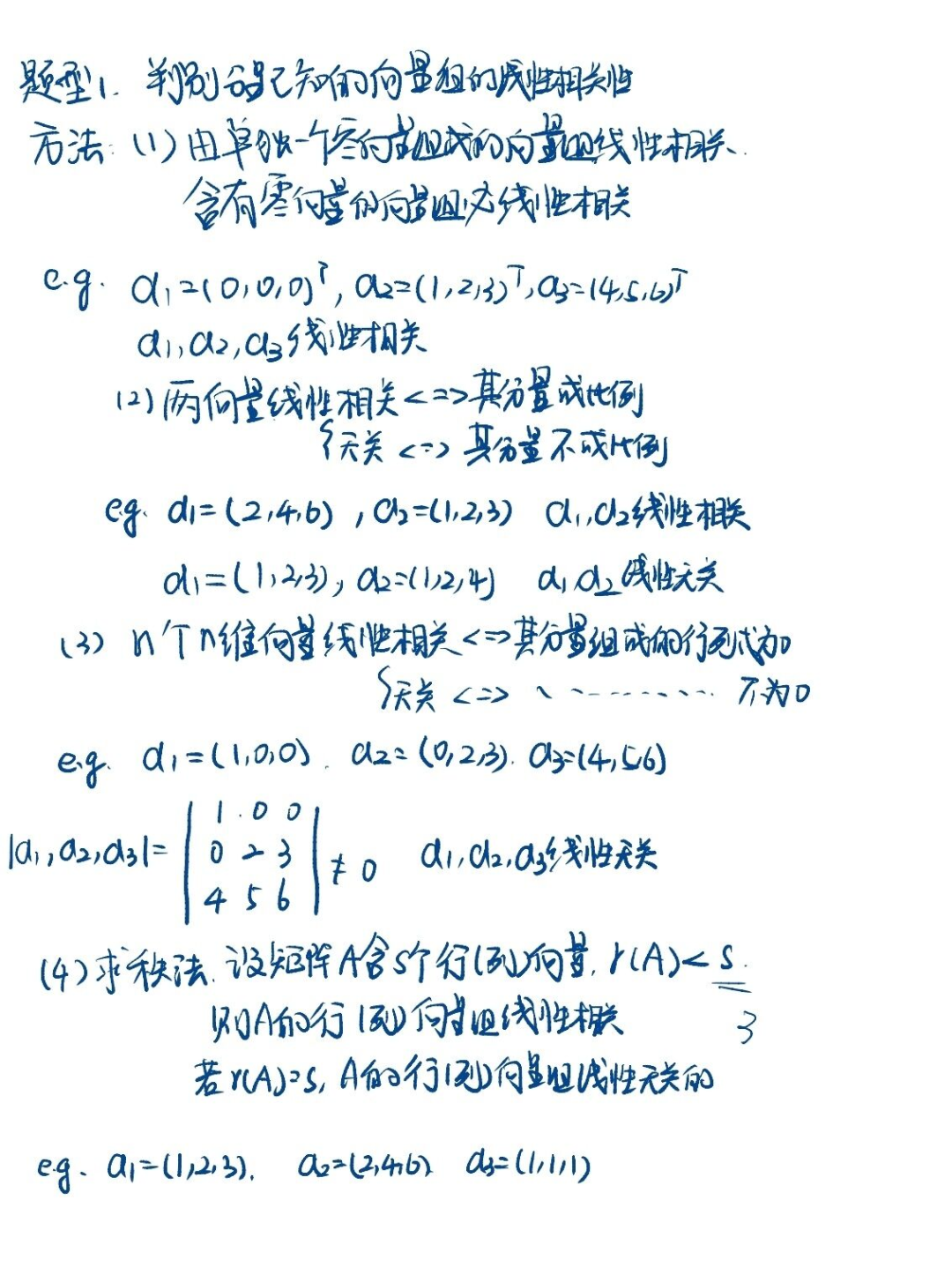
2.陈同学向大家介绍了线性代数向量组中的几个典型问题,包含向量组的线性相关性、证明向量组线性无关的方法、向量组线性相关性的含参计算问题等内容。




(陈同学讲课笔记摘录)
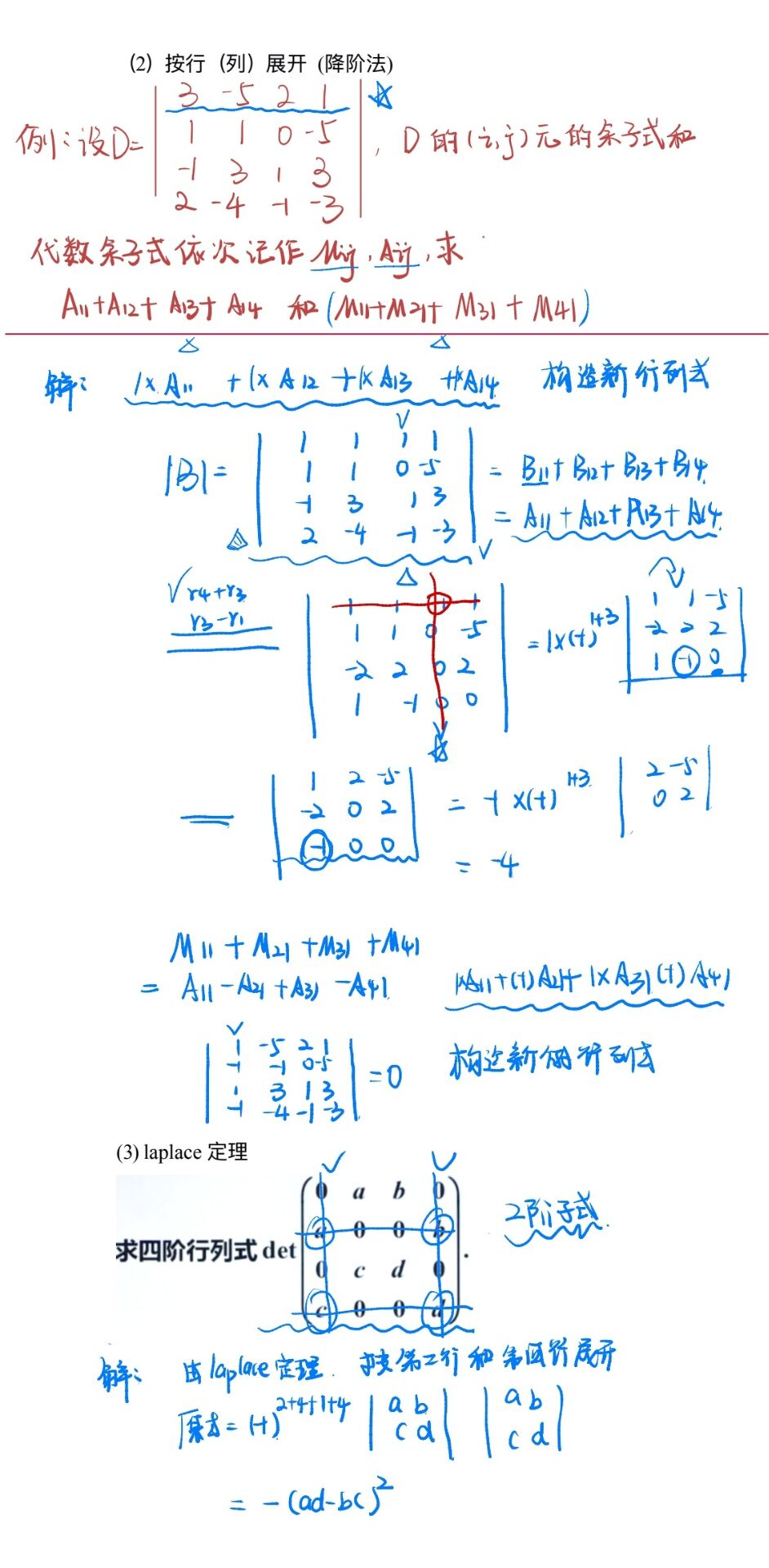
3.何同学带领大家复习回顾了行列式的定义、性质以及常用结论,并且结合例题介绍行列式计算的多种方法:化三角形法、拆项法、加边法等。



(郭同学讲课笔记摘录)
1.“学霸直播间”计划每周一、周四19:00-21:00播出,具体以学生工作处微信公众号推送为准。
2.欢迎同学们搜索群号:783310722或扫描下方二维码,加入活动QQ群,大家可以在群里发送“难题”、“点播”科目、发表意见~

3.小联会将直播回放视频发布在群共享供大家回看和学习,快拿出小本子,和小联一起认真做笔记吧!
想听学霸讲解知识点,锁定福star学霸直播间就对啦!小联在学霸直播间等你,我们不见不散呦~
【小联der自我介绍】
小联——福建师范大学学生服务联动协调中心,是学校多个职能部门与学生之间最直接、有效的沟通桥梁。负责协调解决学生对学校管理、服务方面的意见和建议。生活与学习中遇到问题?想获知师大最新资讯?那就来找小联吧!
